Zad. 9.40 bdfh. Naszkicuj wykres funkcji o wzorze
Zad. 9.40 bdfh Naszkicuj wykres funkcji o wzorze
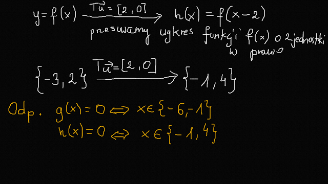
Zad. 9.45 Funkcja f ma tę własność, że tylko dla dwóch argumentów (-4) oraz 7 przyjmuje wartość równą (-5). Ile miejsc zerowych ma funkcja g opisana wzorem g(x)=f(x)+5?
Zad. 9.48 O funkcji f wiadomo, że f(3)=-4 oraz f(-2)=3. Funkcja g ma wzór g(x)=f(x+5)-10. Podaj wartość funkcji g dla argumentu (-2) oraz argument, dla którego wartość funkcji wynosi (-7).
2. Praca domowa (zadania na 01.09.2020):
9.40-9.41aceg, 9.44, 9.50.



















































